June 2017
Beginner to intermediate
576 pages
15h 22m
English
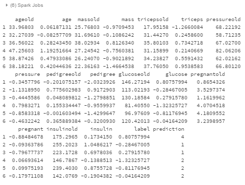
Fit the model on the test data and print out some of the results obtained for the test data:
fitted_test <- predict(model, test_normal) SparkR:::registerTempTable(fitted_test,"fitted_tbl_test") head(fitted_test)
