
i
i
“K18880” — 2014/11/6 — 12:31 — page 66 — #76
i
i
i
i
i
i
Current Scenario of Public Transport (PT) in Developing Countries
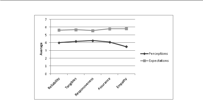
Figure 4.1: SERVQUAL Dimension Gaps between Expectations and
Perceptions
Interpretation of the Gap Analysis
Following are three possible outcomes and their interpretation, for the gap analysis done in
Table 4.4:
P-E >0, this implies that the users are satisfied with the level of service being provided.
P-E = 0, this implies that the satisfactory levels are just being touched or reached.
P-E <0, this implies that the satisfaction levels are low.
An average of the perception and expectation scores of each of the dimensions in the ques-