
i
i
“K18880” — 2014/11/6 — 12:31 — page 91 — #101
i
i
i
i
i
i
Public Transport Planning and Management in Developing Countries
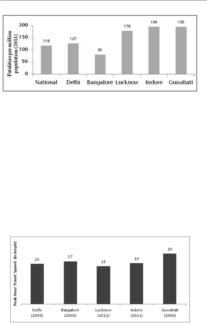
Figure 4.13: Fatalities Per Million Population Due to Road Transport
Accidents (2011)
4.5.3.6 Congestion
All the cities, irrespective of size, are facing similar congestion issues. Figure 4.14 shows
the peak hour travel speed for the five sample cities. The speeds range from 15 kmph in
Lucknow to a maximum of 20 kmph for Guwahati. Although the car ownership rate is much
lower compared to many international cities, the congestion levels are almost the same, one
of the reasons being insufficient road infrastructure. The increasing congestion ...