Skip to Content
Advanced Engineering Mathematics, 7th Edition
book

Advanced Engineering Mathematics, 7th Edition

by Dennis G. Zill
December 2020
Intermediate to advanced
1064 pages
49h 13m
English
Jones & Bartlett Learning
Content preview from Advanced Engineering Mathematics, 7th Edition

3.1 Theory of Linear Equations

INTRODUCTION

We turn now to differential equations of order two or higher. In this section we will examine some of the underlying theory of linear DEs. Then in the five sections that follow we learn how to solve linear higher-order differential equations.

3.1.1. Initial-Value and Boundary-Value Problems

Initial-Value Problem

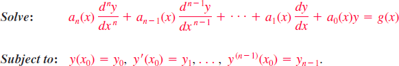
In Section 1.2 we defined an initial-value problem for a general nth-order differential equation. For a linear differential equation, an nth-order initial-value problem (IVP) is

(1)

Recall ...

Become an O’Reilly member and get unlimited access to this title plus top books and audiobooks from O’Reilly and nearly 200 top publishers, thousands of courses curated by job role, 150+ live events each month,
and much more.

Read now

Unlock full access

More than 5,000 organizations count on O’Reilly

AirBnbBlueOriginElectronic ArtsHomeDepotNasdaqRakutenTata Consultancy Services

QuotationMarkO’Reilly covers everything we've got, with content to help us build a world-class technology community, upgrade the capabilities and competencies of our teams, and improve overall team performance as well as their engagement.
Julian F.
Head of Cybersecurity
QuotationMarkI wanted to learn C and C++, but it didn't click for me until I picked up an O'Reilly book. When I went on the O’Reilly platform, I was astonished to find all the books there, plus live events and sandboxes so you could play around with the technology.
Addison B.
Field Engineer
QuotationMarkI’ve been on the O’Reilly platform for more than eight years. I use a couple of learning platforms, but I'm on O'Reilly more than anybody else. When you're there, you start learning. I'm never disappointed.
Amir M.
Data Platform Tech Lead
QuotationMarkI'm always learning. So when I got on to O'Reilly, I was like a kid in a candy store. There are playlists. There are answers. There's on-demand training. It's worth its weight in gold, in terms of what it allows me to do.
Mark W.
Embedded Software Engineer

You might also like

Advanced Engineering Mathematics, 10th Edition

Advanced Engineering Mathematics, 10th Edition

Erwin Kreyszig, Herbert Kreyszig, Edward J. Norminton
Introductory Mathematics for Engineering Applications

Introductory Mathematics for Engineering Applications

Kuldip S. Rattan, Nathan W. Klingbeil
Quick Calculus, 3rd Edition

Quick Calculus, 3rd Edition

Daniel Kleppner, Peter Dourmashkin, Norman Ramsey

Publisher Resources

ISBN: 9781284206258