Skip to Content
Bayesian Statistics: An Introduction, 4th Edition
book

Bayesian Statistics: An Introduction, 4th Edition

by Peter M. Lee
September 2012
Intermediate to advanced
486 pages
10h 41m
English
Wiley
Content preview from Bayesian Statistics: An Introduction, 4th Edition

10.1 Bayesian importance sampling

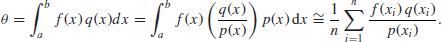
Importance sampling was first mentioned towards the start of Section 9.1. We said then that it is useful when we want to find a parameter θ which is defined as the expectation of a function f(x) with respect to a density q(x) but we cannot easily generate random variables with that density although we can generate variates xi with a density p(x) which is such that p(x) roughly approximates |f(x)|q(x) over the range of integration. Then

Unnumbered Display Equation

The function p(x) is called an importance function. In the words of Wikipedia, ‘Importance sampling is a variance reduction technique that can be used in the Monte Carlo method. The idea behind importance sampling is that certain values of the input random variables in a simulation have more impact on the parameter being estimated than others. If these ‘important’ values are emphasized by sampling more frequently, then the estimator variance can be reduced.’

A case where this technique is easily seen to be valuable occurs in evaluating tail areas of the normal density function (although this function is, of course, well-enough tabulated for it to be unnecessary in this case). If, for example, we wanted to find the probability  that a standard normal variate was greater than 4, so that

a naïve Monte Carlo method would ...

Become an O’Reilly member and get unlimited access to this title plus top books and audiobooks from O’Reilly and nearly 200 top publishers, thousands of courses curated by job role, 150+ live events each month,
and much more.
Start your free trial

You might also like

Bayesian Data Analysis, Third Edition, 3rd Edition

Bayesian Data Analysis, Third Edition, 3rd Edition

Andrew Gelman, John B. Carlin, Hal S. Stern, David B. Dunson, Aki Vehtari, Donald B. Rubin
Introduction to Probability

Introduction to Probability

Joseph K. Blitzstein, Jessica Hwang

Publisher Resources

ISBN: 9781118359778Purchase book