September 2004
Intermediate to advanced
496 pages
13h 57m
English
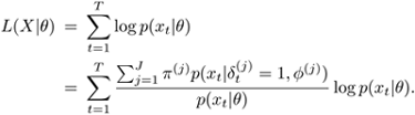
The previous section has shown that the EM algorithm is a powerful tool in estimating the parameters of finite-mixture models. This is achieved by iteratively maximizing the expectation of the model's completed-data likelihood function. The model's parameters, however, can also be obtained by maximizing an incomplete-data likelihood function, leading to an entropy interpretation of the EM algorithm.
The optimal estimates are obtained by maximizing
Equation 3.3.1

Define
![]()
such that ...