Skip to Main Content
Robust Python
book

Robust Python

by Patrick Viafore
July 2021
Intermediate to advanced content levelIntermediate to advanced
378 pages
9h 35m
English
O'Reilly Media, Inc.
Book available
Content preview from Robust Python

Chapter 16. Dependencies

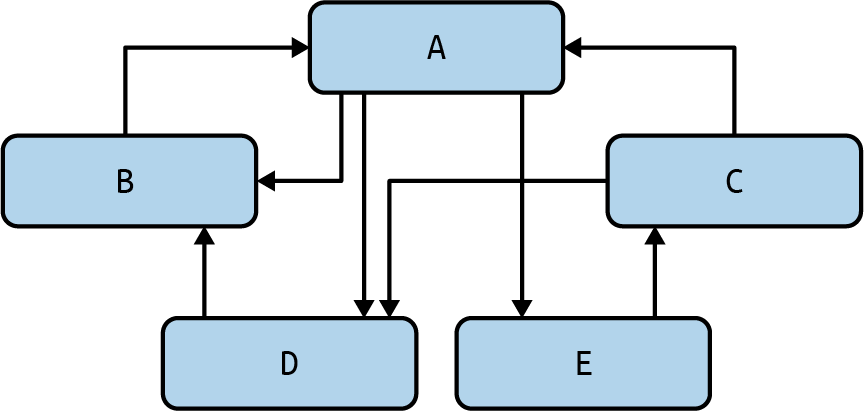
It is difficult to write a program with no dependencies. Functions depend on other functions, modules depend on other modules, and programs depend on other programs. Architecture is fractal; no matter what level you’re looking at, your code can be represented as some sort of box-and-arrows diagram, like in Figure 16-1. It doesn’t matter if it’s functions, classes, modules, programs, or systems, you can draw a similar diagram to Figure 16-1 to represent the dependencies in your code.

Box-and-arrows diagram
Figure 16-1. Box-and-arrows diagram

However, if you don’t actively manage your dependencies, you soon get to what’s known as “spaghetti code,” making your box-and-arrows diagram look like Figure 16-2.

A tangled mess of dependencies
Figure 16-2. A tangled mess of dependencies

In this chapter, you are going to learn all about dependencies and how to keep them under control. You’ll learn about different types of dependencies, all of which should be managed with different techniques. You’ll learn how to graph your dependencies, and how to interpret whether you have a healthy system. You’ll learn how to truly simplify your code architecture, which will help you manage complexity and increase the robustness of your codebase.

Relationships

Dependencies are, in essence, relationships. When a piece of code requires ...

Become an O’Reilly member and get unlimited access to this title plus top books and audiobooks from O’Reilly and nearly 200 top publishers, thousands of courses curated by job role, 150+ live events each month,
and much more.
Start your free trial

You might also like

Python Distilled

Python Distilled

David M. Beazley
High Performance Python, 2nd Edition

High Performance Python, 2nd Edition

Micha Gorelick, Ian Ozsvald

Publisher Resources

ISBN: 9781098100650Errata PageSupplemental Content