March 2004
Intermediate to advanced
688 pages
16h 56m
English
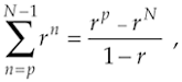
In the literature of digital signal processing, we often encounter geometric series expressions like
Equation B-1.

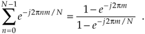
or
Equation B-2.

Unfortunately, many authors make a statement like “and we know that,” and drop Eqs. (B-1) or (B-2) on the unsuspecting reader who's expected to accept these expressions on faith. Assuming that you don't have a Ph.D. in mathematics, you may wonder exactly what arithmetic sleight of hand allows us to arrive at Eqs. (B-1) or (B-2). To answer this question, let's consider a general ...