June 2024
Beginner
976 pages
16h 34m
English
Just like every high-level programming language, Visual Basic provides many ready-to-use subprograms (called functions, subprocedures, or methods) that you can use whenever and wherever you wish.
A “subprogram” is simply a group of statements packaged as a single unit. Each subprogram has a descriptive name and performs a specific task.
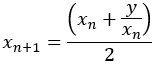
To better understand Visual Basic's subprograms, let's take Heron's[11] iterative formula that calculates the square root of a positive number.
.
where
Read now
Unlock full access