May 2010
Beginner to intermediate
264 pages
7h 26m
English
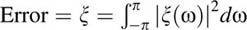
Let’s minimize the expression
![]()
Where

We start by setting the derivative of the error ξ with respect to the filter coefficients (the one parameter that we have control over and want to optimize) equal to zero:
![]()
We then use the chain rule to differentiate each part:

The derivative is now a sum of two ...