July 2017
Beginner to intermediate
418 pages
9h 46m
English
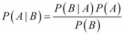
The Bayes theorem is based on the concept of learning from experience, that is, using a sequence of steps to come to a prediction. It is the calculation of probability based on prior knowledge of occurrences that might have led to the event. Bayes theorem is given by the following formula:

Where:
|
Probability Value |
Description |
|---|---|
|
P(A | B) |
Conditional probability of event A given that event B has occurred. |
|
P(B | A) |
Conditional probability of event B given that event A has occurred. |
|
P(A) |
Individual probability of event A without regard to event B. |
|
P(B) |
Individual probability of event B without regard to event A. |
Let's understand ...