March 2013
Intermediate to advanced
748 pages
21h 42m
English
In this appendix we give several useful mathematical facts. We begin with some combinatorial definitions and facts.
The logarithm function is defined as
![]()
The following identities hold for logarithms and exponents:
In addition, we have the following:
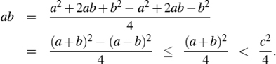
Proposition B.1: If a > 0, b > 0, and c > a + b, then
loga + logb < 2logc − 2.
Justification: It is enough to show that ab < c2/4. We can write

The natural logarithm function lnx = loge x, where e = 2.71828. . ., is the value of the following progression:
![]()
In addition,

There are a number of useful inequalities relating to these functions (which derive from these definitions).
Proposition B.2: If x > −1,
![]()
Proposition B.3: For 0 ≤ x < 1,
Proposition B.4: For any two positive real numbers x and n,
The “floor” ...