May 2024
Intermediate to advanced
872 pages
32h 3m
English
CHAPTER 5: : Physical and Chemical Equilibrium
Test Your Concepts-I
1. Condense to liquid
Test Your Concepts-II
1. Using the phase diagram for water, we can determine that the state of water at each temperature and pressure given are as follows: (a) solid; (b) liquid; (c) liquid; (d) gas; (e) solid; (f) gas.
Test Your Concepts-III
1. ![]()
Hence, the correct answer is (D).
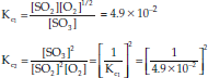
2. ![]()
Hence, the correct answer is (A).
Test Your Concepts-IV
1.
Hence, the correct ...
Read now
Unlock full access