February 2017
Intermediate to advanced
326 pages
11h 55m
English
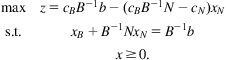
(2.25)Now putting everything in tableau form leads to:

Note that taking
leads to a solution known as basic feasible solution. It is well known that every basic solution is an extreme point on the polyhedral solution set. This corresponds to the last block row of the tableau. This matrix representation (or tableau representation) contains all of the information ...
Read now
Unlock full access