October 2018
Intermediate to advanced
556 pages
15h 18m
English
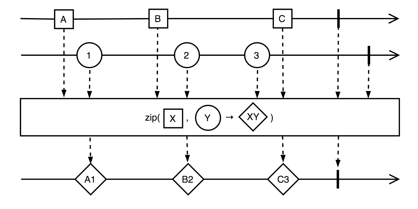
One more operator that we will look at is zip. This has a more complex behavior, as it combines values from two parallel streams by applying a zip function. It is often used for data enrichment, especially when parts of an expected result are retrieved from different sources, as shown in the following diagram:

Here, Netflix uses a zip operator to combine movie descriptions, movie posters, and movie ratings when streaming a list of recommended ...
Read now
Unlock full access