
Perturbation Theories for Simple Fluid Mixtures 197
0.8
1.0
1.2
1.4
1.6
1.8
2.0
1.0 1.5 2.0 2.5 3.0
0.5
1.5
2.5
3.5
4.5
1.0 1.5 2.0 2.5 3.0
R = 3
x
1
= 0.50
η
mix
= 0.20
R = 3
x
1
= 0.50
η
mix
= 0.40
g
11
(r)
g
11
(r)
r/σ
11
r/σ
11
0.8
1.0
1.2
1.4
1.6
1.0 1.5 2.0 2.5 3.0 3.5 4.0 4.5
0.5
1.0
1.5
2.0
2.5
3.0
1.0 1.5 2.0 2.5 3.0 3.5 4.0 4.5
R = 3
x
1
= 0.50
η
mix
= 0.20
R = 3
x
1
= 0.50
η
mix
= 0.40
g
12
(r)
g
12
(r)
r/σ
12
r/σ
12
0.9
1.0
1.1
1.2
1.3
1.4
1.5
1.0 3.0 5.0 7.0 9.0
0.6
1.0
1.4
1.8
2.2
2.6
1.0 3.0 5.0 7.0 9.0
R = 3
x
1
= 0.50
η
mix
= 0.20
R = 3
x
1
= 0.50
η
mix
= 0.40
g
22
(r)
g
22
(r)
r/σ
22
r/σ
22
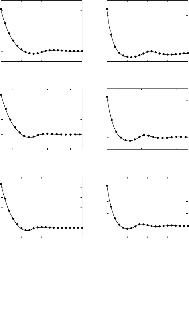
FIGURE 7.3 Partial radial distribution functions for an equimolar binary mixture of HS as a
function of the reduced radial distance r/σ