March 2018
Beginner to intermediate
656 pages
20h 9m
English
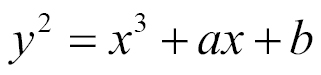
The elliptic curves algorithm is based on the discrete logarithm problem discussed earlier but in the context of elliptic curves. An elliptic curve is an algebraic cubic curve over a field, which can be defined by the following equation. The curve is non-singular, which means that it has no cusps or self-intersections. It has two variables a and b, as well as a point of infinity.

Here, a and b are integers whose values are elements of the field on which the elliptic curve is defined. Elliptic curves can be defined over real numbers, rational numbers, complex numbers, or finite fields. For cryptographic purposes, an elliptic ...