March 2009
Intermediate to advanced
680 pages
18h 13m
English
APPENDIX A
USEFUL FORMULAS, IDENTITIES, UNITS, AND CONSTANTS
Constants

Decibels

Units
Time

Frequency

Length

Circuits

Vector Formulas

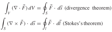
Theorems from Vector Calculus

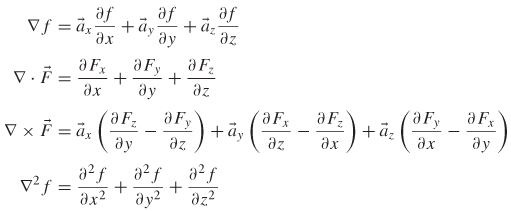
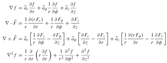
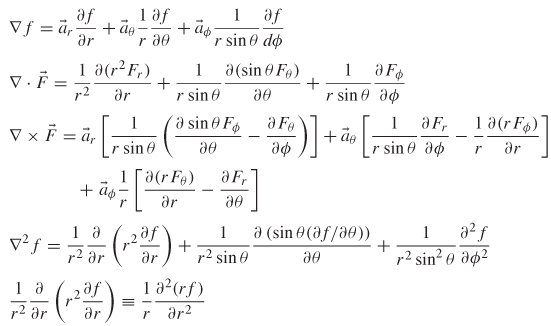
Explicit Forms of Vector Operations
Cartesian (x, y, z)

Cylindrical (r, φ, z)

Spherical (r, θ, φ)

Coordinate Transformations
Rectangular to Cylindrical
Rectangular to Spherical
Cylindrical to Spherical