
26 Green Composites from Natural Resources
cyclic hygrothermal aging conditions being more severe than the water immersion
conditions, which are also more severe than the UV aging conditions. Finally, the
bending strength of biocomposites is signicantly decreased after aging. The cyclic
hygrothermal aging conditions are once again the most severe aging conditions.
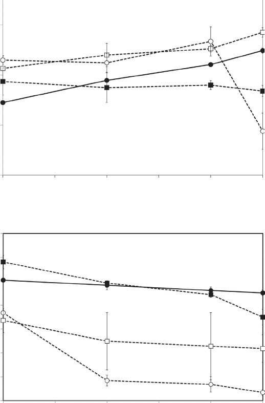
Panthapulakkal and Sain (2007) also observed a decrease in bending modulus and
Rice husk content (wt%)
0%
2000
3000
4000
5000
5% 10% 15% 20%
Rice husk content (wt%)
0
0
20
40
60
80
100
120
5101520
FIGURE 2.12 Bending (a) modulus (b) stress of poly(lact ...