
370 Green Composites from Natural Resources
undec-10-enyl undec-10-enoate, using ADMET polymerization (Mutlu and Meier
2009; Rybak and Meier 2008). Recently, it has been reported by De Espinosa et al.
(2010) that ADMET polymerization of phosphorous-containing vegetable oil–based
α,ω-dienes affords polymers with relatively good ame retardancy.
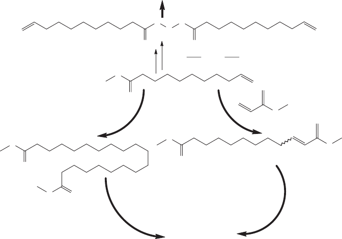
Petrovic (2008) reported that ozonolysis of oils and fatty acids produced a number
of difunctional monomers and chemicals as shown in Figure 16.12.
Different polyols have been prepared from vegetable oils by different methods
(Narine et al. 2007b). Modication of the polyols has also been carried out to increa ...