
296 Green Composites from Natural Resources
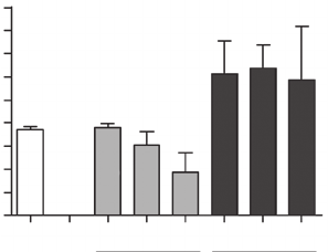
analysis evaluating cell viability. This test was done using two different cells: mouse
macrophages and human macrophages derived from blood human cells. The cell
viability was done 24 hours after the cells were exposed to the MFC. Nonexposed
cells acted as negative control (CTR), and all the cells were compared with cells
exposed to MCC from Avicel PH-101. The behavior of MFC was better when com-
pared with that of MCC and even better than the negative control, since it reduced
the rate of dead cells; the graphs are shown in Figure 13.13. Similar behavior was
reported by Vartiainen et al. (2011) when ...