Skip to Content
For Enterprise
For Government
For Higher Ed
For Individuals
For Marketing
For Enterprise
For Government
For Higher Ed
For Individuals
For Marketing
Explore Skills
Cloud Computing
Microsoft Azure
Amazon Web Services (AWS)
Google Cloud
Cloud Migration
Cloud Deployment
Cloud Platforms
Data Engineering
Data Warehouse
SQL
Apache Spark
Microsoft SQL Server
MySQL
Kafka
Data Lake
Streaming & Messaging
NoSQL Databases
Relational Databases
Data Science
Pandas
R
MATLAB
SAS
D3
Power BI
Tableau
Statistics
Exploratory Data Analysis
Data Visualization
AI & ML
Generative AI
Machine Learning
Artificial Intelligence (AI)
Deep Learning
Reinforcement Learning
Natural Language Processing
TensorFlow
Scikit-Learn
Hyperparameter Tuning
MLOps
Programming Languages
Java
JavaScript
Spring
Python
Go
C#
C++
C
Swift
Rust
Functional Programming
Software Architecture
Object-Oriented
Distributed Systems
Domain-Driven Design
Architectural Patterns
IT/Ops
Kubernetes
Docker
GitHub
Terraform
Continuous Delivery
Continuous Integration
Database Administration
Computer Networking
Operating Systems
IT Certifications
Security
Network Security
Application Security
Incident Response
Zero Trust Model
Disaster Recovery
Penetration Testing / Ethical Hacking
Governance
Malware
Security Architecture
Security Engineering
Security Certifications
Design
Web Design
Graphic Design
Interaction Design
Film & Video
User Experience (UX)
Design Process
Design Tools
Business
Agile
Project Management
Product Management
Marketing
Human Resources
Finance
Team Management
Business Strategy
Digital Transformation
Organizational Leadership
Soft Skills
Professional Communication
Emotional Intelligence
Presentation Skills
Innovation
Critical Thinking
Public Speaking
Collaboration
Personal Productivity
Confidence / Motivation
Features
All features
Verifiable skills
AI Academy
Courses
Certifications
Interactive learning
Live events
Superstreams
Answers
Insights reporting
Radar Blog
Buy Courses
Plans
Sign In
Try Now
O'Reilly Platform
book
머신러닝 시스템 설계
by
칩 후옌
,
김대근
,
김영민
March 2023
Beginner to intermediate
436 pages
9h 20m
Korean
Hanbit Media, Inc.
Content preview from
머신러닝 시스템 설계
270
머신러닝 시스템 설계
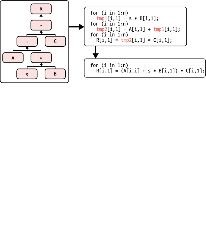
연산자 융합(
Operator
fusion
)
중복 메모리 액세스를 방지하기 위해 여러 연산자를 하나로 통합합니다. 예를 들어, 한
배열에 두 작업을 수행하려면 해당 배열에 루프가 두 개 필요하지만 융합된 경우에는
하나가 됩니다. [그림
7
-
13
]은 연산자 융합 예시를 나타냅니다.
그림
7-13
연산자 융합 예시(출처: 마티아스 보엠의 이미지
54
를 각색함)
속도를 훨씬 크게 향상하려면 계산 그래프의 상위 수준 구조를 활용해야 합니다. 예를
들어, [그림
7
-
14
]와 같이 계산 그래프가 있는 합성곱 신경망은 메모리 액세스를 줄이
고 모델 속도를 높이기 위해 수직 혹은 수평으로 융합됩니다.
54
Boehm
,
M
. (
2019
,
April
5
).
Architecture
of
ML
systems
04
Operator
Fusion
and
Runtime
Adaptation
.
Github
.
https://oreil
.
ly/py43J
271
7
장
모델 배포와 예측 서비스
다음 입력
다음 입력
다음 입력
그래프 최적화
입력
입력
원본 그래프
수평 융합
수직 융합
그림
7-14
합성곱
신경망 ...
Become an O’Reilly member and get unlimited access to this title plus top books and audiobooks from O’Reilly and nearly 200 top publishers, thousands of courses curated by job role, 150+ live events each month,
and much more.
Start your free trial
You might also like
개발 7년차, 매니저 1일차
권원상, 한민주, 카미유 푸르니에
견고한 데이터 엔지니어링
조 라이스, 맷 하우슬리
개발자를 위한 머신러닝&딥러닝
로런스 모로니
러닝 타입스크립트
조시 골드버그
Publisher Resources
ISBN: 9791169210850