Skip to Content
우아한 사이파이: 수학, 과학, 엔지니어링을 위한 파이썬 데이터 분석 라이브러리 SciPy
book

우아한 사이파이: 수학, 과학, 엔지니어링을 위한 파이썬 데이터 분석 라이브러리 SciPy

by 최길우, 후안 누네즈-이글레시아스, 스테판 판데르발트, 해리엇 대시나우
June 2018
Beginner to intermediate
304 pages
7h 38m
Korean
Hanbit Media, Inc.
Content preview from 우아한 사이파이: 수학, 과학, 엔지니어링을 위한 파이썬 데이터 분석 라이브러리 SciPy
106
우아한 사이파이
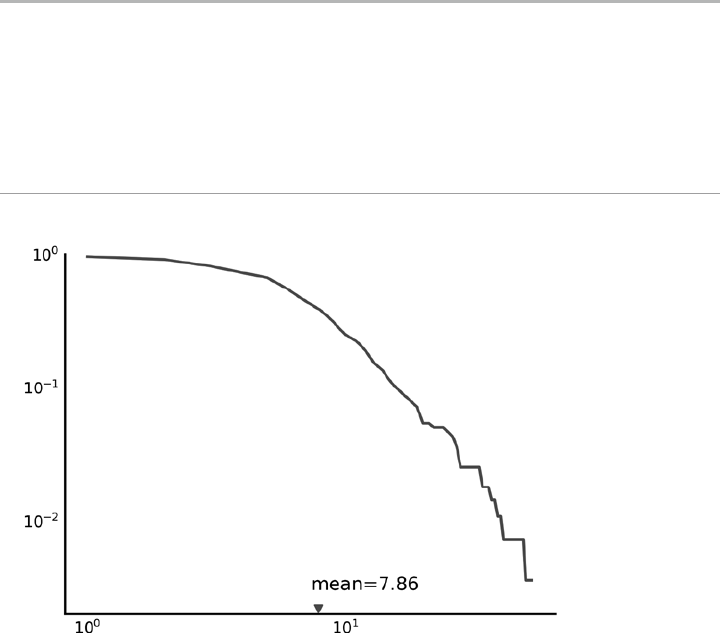
맷플롯립으로 그래프를 그린다.
fig
,
ax
=
plt
.
subplots
()
ax
.
loglog
(
np
.
arange
(
1
,
len
(
survival
) +
1
),
survival
)
ax
.
set
_
xlabel
('진입차수 분포')
ax
.
set
_
ylabel
('진입차수 분포가 높은 신경 세포의 일부')
ax
.
scatter
(
avg
_
in
_
degree
,
0
.
0022
,
marker
='
v
')
ax
.
text
(
avg
_
in
_
degree
-
0
.
5
,
0
.
003
, '평균 = %.
2f
' %
avg
_
in
_
degree
)
ax
.
set
_
ylim
(
0
.
002
,
1
.
0
);
진입차수 분포
진입차수 분포가 높은 신경 세포의 일부
사이파이를 사용하여 과학적인 분석을 재현했다. 위 그래프를 굴곡선으로 바꾸는 작업은 연습
문제로 남겨둔다.
3.5.1
연습문제 : 사이파이 곡선 맞춤
이 연습문제는
7
장 ‘사이파이 함수 최적화’를 위한 약간의 예습이다.
scipy
.
optimize
.
curve
_
fit
( ) 함수를 사용하여 진입차수 생존 함수의 꼬리부분을
f
(
d
) ~
d
y
,
d
>
d
0
(
d
=
10
,
d
0
=
10
)
Become an O’Reilly member and get unlimited access to this title plus top books and audiobooks from O’Reilly and nearly 200 top publishers, thousands of courses curated by job role, 150+ live events each month,
and much more.

Read now

Unlock full access

More than 5,000 organizations count on O’Reilly

AirBnbBlueOriginElectronic ArtsHomeDepotNasdaqRakutenTata Consultancy Services

QuotationMarkO’Reilly covers everything we've got, with content to help us build a world-class technology community, upgrade the capabilities and competencies of our teams, and improve overall team performance as well as their engagement.
Julian F.
Head of Cybersecurity
QuotationMarkI wanted to learn C and C++, but it didn't click for me until I picked up an O'Reilly book. When I went on the O’Reilly platform, I was astonished to find all the books there, plus live events and sandboxes so you could play around with the technology.
Addison B.
Field Engineer
QuotationMarkI’ve been on the O’Reilly platform for more than eight years. I use a couple of learning platforms, but I'm on O'Reilly more than anybody else. When you're there, you start learning. I'm never disappointed.
Amir M.
Data Platform Tech Lead
QuotationMarkI'm always learning. So when I got on to O'Reilly, I was like a kid in a candy store. There are playlists. There are answers. There's on-demand training. It's worth its weight in gold, in terms of what it allows me to do.
Mark W.
Embedded Software Engineer

You might also like

머신러닝을 위한 실전 데이터셋: 개인 정보를 보호하고 머신러닝 학습에 사용할 합성 데이터 만들기

머신러닝을 위한 실전 데이터셋: 개인 정보를 보호하고 머신러닝 학습에 사용할 합성 데이터 만들기

심상진, 칼리드 엘 에맘, 루시 모스케라, 리처드 홉트로프

Publisher Resources

ISBN: 9791162240748