September 2012
Intermediate to advanced
486 pages
10h 41m
English
2.3 Several normal observations with a normal prior
2.3.1 Posterior distribution
We can generalize the situation in the previous section by supposing that a priori
![]()
but that instead of having just one observation we have n independent observations
such that
![]()
We sometimes refer to X as an n-sample from
. Then

Proceeding just as we did in Section 2.3 when we had only one observation, we see that the posterior distribution is
![]()
where

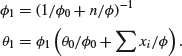
We could alternatively write these formulae as
![]()
which shows that, assuming a normal prior and likelihood, the result is just the same as the posterior distribution obtained from the single observation of the mean , since we know that
and the above formulae are the ...