September 2012
Intermediate to advanced
486 pages
10h 41m
English
A.25 Distribution of the correlation coefficient
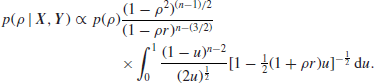
If the prior density of the correlation coefficient is ρ, then its posterior density, given n pairs of observations (Xi, Yi) with sample correlation coefficient r, is given by

on writing
. It can also be shown that
![]()
When r=0 the density simplifies to
![]()
and so if the prior is of the form
![]()
it can be shown that
![]()
has a Student’s t distribution on
degrees of freedom.
Going back to the general case, it can be shown that

Expanding the term in square brackets as a power series in u, we can express the last integral as a sum of beta functions. Taking only the first term, we have as an approximation
On writing
it can be shown that
and hence that for ...