Skip to Content
Bayesian Statistics: An Introduction, 4th Edition
book

Bayesian Statistics: An Introduction, 4th Edition

by Peter M. Lee
September 2012
Intermediate to advanced
486 pages
10h 41m
English
Wiley
Content preview from Bayesian Statistics: An Introduction, 4th Edition

A.15 Uniform distribution

X has a uniform distribution on the interval (a, b) denoted

Unnumbered Display Equation

if it has density

Unnumbered Display Equation

where

Unnumbered Display Equation

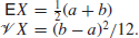
is the indicator function of the set (a, b). The mean and variance are

Unnumbered Display Equation

There is no unique mode, but the distribution is symmetrical, and hence

Unnumbered Display Equation

Sometimes we have occasion to refer to a discrete version; Y has a discrete uniform distribution on the interval [a, b] denoted

Unnumbered Display Equation

if it has a discrete distribution with density

Unnumbered Display Equation

The mean and variance are

Unnumbered Display Equation

using formulae for the sum and sum of squares of the first n natural numbers [the variance is best found by noting that the variance of UD(a, b) equals that of UD(1, n) where n=ba+1]. Again, there is no unique mode, but the distribution is ...

Become an O’Reilly member and get unlimited access to this title plus top books and audiobooks from O’Reilly and nearly 200 top publishers, thousands of courses curated by job role, 150+ live events each month,
and much more.
Start your free trial

You might also like

Bayesian Data Analysis, Third Edition, 3rd Edition

Bayesian Data Analysis, Third Edition, 3rd Edition

Andrew Gelman, John B. Carlin, Hal S. Stern, David B. Dunson, Aki Vehtari, Donald B. Rubin
Introduction to Probability

Introduction to Probability

Joseph K. Blitzstein, Jessica Hwang

Publisher Resources

ISBN: 9781118359778Purchase book