7.6 Bayes linear methods
7.6.1 Methodology
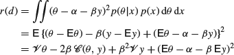
Bayes linear methods are closely related to point estimators resulting from quadratic loss. Suppose that we restrict attention to decision rules d(x) which are constrained to be a linear function
of some known function y=y(x) of x and seek for a rule which, subject to this constraint, has minimum Bayes risk r(d). The resulting rule will not usually be a Bayes rule, but will not, on the other hand, necessitate a complete specification of the prior distribution. As we have seen that it can be very difficult to provide such a specification, there are real advantages to Bayes linear methods. To find such an estimator we need to minimize

(since cross terms involving
clearly vanish). By setting
, we see that the values
and
which minimize r satisfy
![]()