Skip to Content
밑바닥부터 시작하는 딥러닝 5
book

밑바닥부터 시작하는 딥러닝 5

by 사이토 고키, 개앞맵시(이복연)
October 2024
Beginner to intermediate
340 pages
7h 38m
Korean
Hanbit Media, Inc.
Content preview from 밑바닥부터 시작하는 딥러닝 5
243
8
확산 모델 이론
그림
8-16
을 학습 데이터로 사용하는 확산 모델
NN
학습 데이터
논문
[11]
에 따르면 노이즈를 예측하는 모델의 결과가 더 좋았다고 합니다. 또한 손실 함수의 계
수를 생략하고 사용해도 똑같은 결과를 얻을 수 있습니다.
간단해진 이 손실 함수를 이용해서 확산 모델을 학습시킬 수 있습니다. 다음은 이 손실 함수를
이용한 학습 알고리즘을 의사 코드로 정리한 것입니다.
확산 모델의 학습 알고리즘(노이즈 예측 버전)
1
. 반복:
2
.
x
0
을 학습 데이터에서 무작위로 가져옴
3
.
t
+
U
{
1
,
T
}
(균등 분포로부터 정수 생성)
4
.
f
+
N
(
0
,
I
)
5
.
6
.
7
. 를 구하고 경사법으로 매개변수 갱신
8.6.4
새로운 데이터 샘플링
마지막으로 새로운 데이터를 샘플링하는 방법을 설명하겠습니다.
8
.
4
.
2
절에서 제시한 바와 같
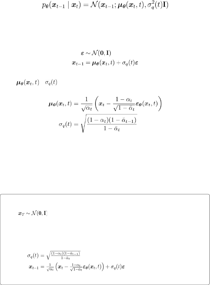
p
i
(
x
t
-
1
|
x
t
)
는 다음 식으로 표현됩니다.
244
밑바닥부터 시작하는 딥러닝 5
이로부터
x
t
-
1
+
p
i
(
x
t
-
1
|
x
t
)
에 의한 샘플은 재매개변수화 트릭을 사용하면 다음 식으로 표
현할 수 있습니다.
여기서
Become an O’Reilly member and get unlimited access to this title plus top books and audiobooks from O’Reilly and nearly 200 top publishers, thousands of courses curated by job role, 150+ live events each month,
and much more.
Start your free trial

You might also like

밑바닥부터 시작하는 딥러닝 4

밑바닥부터 시작하는 딥러닝 4

사이토 고키

Publisher Resources

ISBN: 9791169212960