Skip to Content
For Enterprise
For Government
For Higher Ed
For Individuals
For Marketing
For Enterprise
For Government
For Higher Ed
For Individuals
For Marketing
Explore Skills
Cloud Computing
Microsoft Azure
Amazon Web Services (AWS)
Google Cloud
Cloud Migration
Cloud Deployment
Cloud Platforms
Data Engineering
Data Warehouse
SQL
Apache Spark
Microsoft SQL Server
MySQL
Kafka
Data Lake
Streaming & Messaging
NoSQL Databases
Relational Databases
Data Science
Pandas
R
MATLAB
SAS
D3
Power BI
Tableau
Statistics
Exploratory Data Analysis
Data Visualization
AI & ML
Generative AI
Machine Learning
Artificial Intelligence (AI)
Deep Learning
Reinforcement Learning
Natural Language Processing
TensorFlow
Scikit-Learn
Hyperparameter Tuning
MLOps
Programming Languages
Java
JavaScript
Spring
Python
Go
C#
C++
C
Swift
Rust
Functional Programming
Software Architecture
Object-Oriented
Distributed Systems
Domain-Driven Design
Architectural Patterns
IT/Ops
Kubernetes
Docker
GitHub
Terraform
Continuous Delivery
Continuous Integration
Database Administration
Computer Networking
Operating Systems
IT Certifications
Security
Network Security
Application Security
Incident Response
Zero Trust Model
Disaster Recovery
Penetration Testing / Ethical Hacking
Governance
Malware
Security Architecture
Security Engineering
Security Certifications
Design
Web Design
Graphic Design
Interaction Design
Film & Video
User Experience (UX)
Design Process
Design Tools
Business
Agile
Project Management
Product Management
Marketing
Human Resources
Finance
Team Management
Business Strategy
Digital Transformation
Organizational Leadership
Soft Skills
Professional Communication
Emotional Intelligence
Presentation Skills
Innovation
Critical Thinking
Public Speaking
Collaboration
Personal Productivity
Confidence / Motivation
Features
All features
Verifiable skills
AI Academy
Courses
Certifications
Interactive learning
Live events
Superstreams
Answers
Insights reporting
Radar Blog
Buy Courses
Plans
Sign In
Try Now
O'Reilly Platform
book
밑바닥부터 시작하는 딥러닝 5
by
사이토 고키
,
개앞맵시(이복연)
October 2024
Beginner to intermediate
340 pages
7h 38m
Korean
Hanbit Media, Inc.
Content preview from
밑바닥부터 시작하는 딥러닝 5
139
5
장
EM 알고리즘
이상으로
log
p
(
x
;
i
new
)
$
log
p
(
x
;
i
old
)
임을 증명했습니다.
5.4
GMM
과
EM
알고리즘
앞 절에서는 잠재 변수가 있는 모델 전체를 대상으로
EM
알고리즘을 도출했습니다. 이번 절에
서는
GMM
이라는 구체적인 모델에
EM
알고리즘을 적용합니다.
5.4.1
EM
알고리즘의
E
-스텝
GMM
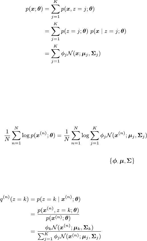
복습부터 시작하겠습니다. 여기서는 관측 변수를
x
로, 잠재 변수를
z
로 표기합니다.
z
는
1
에서
K
까지의 이산값을 취하는 확률 변수로 가정합니다. 그리고
GMM
의 매개변수를
로 표현합니다
(
표기를 단순화하기 위해 세 가지 매개변수를 합쳐
i
하나로 표
기합니다
)
. 원소가
K
개라고 할 때 이 매개변수들은 다음과 같습니다.
이때 가능도
p
(
x
;
i
)
는 다음 식으로 표현합니다.
140
밑바닥부터 시작하는 딥러닝 5
참고로 앞으로 식 전개를 대비하여
k
대신
j
기호를 사용했습니다.
N
개의 관측 데이터
{
x
(
1
)
,
x
(
2
)
…
x
(
N
)
}
을 얻었다고 해봅시다. 이때 각 데이터에 대한 로그 가
능도의 평균은 다음 식으로 표현합니다. 이 값을 기준으로
EM
알고리즘의 ...
Become an O’Reilly member and get unlimited access to this title plus top books and audiobooks from O’Reilly and nearly 200 top publishers, thousands of courses curated by job role, 150+ live events each month,
and much more.
Start your free trial
You might also like
밑바닥부터 시작하는 딥러닝 4
사이토 고키
밑바닥부터 시작하는 딥러닝
사이토 고키
밑바닥부터 시작하는 딥러닝 2
사이토 고키
밑바닥부터 시작하는 비트코인
류정필, 송재준
Publisher Resources
ISBN: 9791169212960