Skip to Content
For Enterprise
For Government
For Higher Ed
For Individuals
For Marketing
For Enterprise
For Government
For Higher Ed
For Individuals
For Marketing
Explore Skills
Cloud Computing
Microsoft Azure
Amazon Web Services (AWS)
Google Cloud
Cloud Migration
Cloud Deployment
Cloud Platforms
Data Engineering
Data Warehouse
SQL
Apache Spark
Microsoft SQL Server
MySQL
Kafka
Data Lake
Streaming & Messaging
NoSQL Databases
Relational Databases
Data Science
Pandas
R
MATLAB
SAS
D3
Power BI
Tableau
Statistics
Exploratory Data Analysis
Data Visualization
AI & ML
Generative AI
Machine Learning
Artificial Intelligence (AI)
Deep Learning
Reinforcement Learning
Natural Language Processing
TensorFlow
Scikit-Learn
Hyperparameter Tuning
MLOps
Programming Languages
Java
JavaScript
Spring
Python
Go
C#
C++
C
Swift
Rust
Functional Programming
Software Architecture
Object-Oriented
Distributed Systems
Domain-Driven Design
Architectural Patterns
IT/Ops
Kubernetes
Docker
GitHub
Terraform
Continuous Delivery
Continuous Integration
Database Administration
Computer Networking
Operating Systems
IT Certifications
Security
Network Security
Application Security
Incident Response
Zero Trust Model
Disaster Recovery
Penetration Testing / Ethical Hacking
Governance
Malware
Security Architecture
Security Engineering
Security Certifications
Design
Web Design
Graphic Design
Interaction Design
Film & Video
User Experience (UX)
Design Process
Design Tools
Business
Agile
Project Management
Product Management
Marketing
Human Resources
Finance
Team Management
Business Strategy
Digital Transformation
Organizational Leadership
Soft Skills
Professional Communication
Emotional Intelligence
Presentation Skills
Innovation
Critical Thinking
Public Speaking
Collaboration
Personal Productivity
Confidence / Motivation
Features
All features
Verifiable skills
AI Academy
Courses
Certifications
Interactive learning
Live events
Superstreams
Answers
Insights reporting
Radar Blog
Buy Courses
Plans
Sign In
Try Now
O'Reilly Platform
book
밑바닥부터 시작하는 딥러닝 5
by
사이토 고키
,
개앞맵시(이복연)
October 2024
Beginner to intermediate
340 pages
7h 38m
Korean
Hanbit Media, Inc.
Content preview from
밑바닥부터 시작하는 딥러닝 5
130
밑바닥부터 시작하는 딥러닝 5
log
p
i
(
x
)
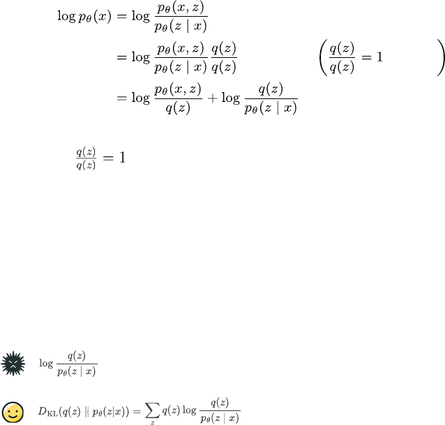
가 복잡한 이유는, 다시 말하지만 다음 식과 같이 로그-합 형태이기 때문입니다.
로그-합을 풀기 위해 먼저 확률의 곱셈 정리를 이용해 표현해봅시다.
언뜻 보면 로그-합을 해결한 듯 보이지만 조건부 확률
p
i
(
z
|
x
)
가 골칫거리입니다. 왜냐하면
p
i
(
z
|
x
)
는 베이즈 정리에 따라 다음 식으로 표현되기 때문입니다.
이 식의 분모에
, 즉 합이 등장하므로
log
p
i
(
x
)
는 여전히 로그-합 형태입니다.
5.2.2
임의의 확률 분포
q
(
z
)
이 문제를 해결하기 위해
q
(
z
)
를 등장시킵니다.
q
(
z
)
는 임의의 확률 분포로서 문제가 되는
p
i
(
z
|
x
)
의 근사 분포로 사용합니다. 임의의 확률 분포라고 함은 ‘어떤 확률 분포라도 상관없다’는
뜻입니다
(
그림
5
-
5
).
그림
5-5
문제의
p
i
(
z
|
x
)
와 그 대신 쓰이는
q
(
z
)
p
i
(
z
|
x
)
대신
q
(
z
)
를 사용하기 위해 다음과 같이 식을 확장합니다.
131
5
장
EM 알고리즘
을 곱한다.
이 식과 같이
을 곱하는 형태로
q
(
z
)
를 도입합니다
(
1
을 곱해도 식은 변하지 않습니
다)
Become an O’Reilly member and get unlimited access to this title plus top books and audiobooks from O’Reilly and nearly 200 top publishers, thousands of courses curated by job role, 150+ live events each month,
and much more.
Start your free trial
You might also like
밑바닥부터 시작하는 딥러닝 4
사이토 고키
밑바닥부터 시작하는 딥러닝
사이토 고키
밑바닥부터 시작하는 딥러닝 2
사이토 고키
밑바닥부터 시작하는 비트코인
류정필, 송재준
Publisher Resources
ISBN: 9791169212960