Skip to Content
For Enterprise
For Government
For Higher Ed
For Individuals
For Marketing
For Enterprise
For Government
For Higher Ed
For Individuals
For Marketing
Explore Skills
Cloud Computing
Microsoft Azure
Amazon Web Services (AWS)
Google Cloud
Cloud Migration
Cloud Deployment
Cloud Platforms
Data Engineering
Data Warehouse
SQL
Apache Spark
Microsoft SQL Server
MySQL
Kafka
Data Lake
Streaming & Messaging
NoSQL Databases
Relational Databases
Data Science
Pandas
R
MATLAB
SAS
D3
Power BI
Tableau
Statistics
Exploratory Data Analysis
Data Visualization
AI & ML
Generative AI
Machine Learning
Artificial Intelligence (AI)
Deep Learning
Reinforcement Learning
Natural Language Processing
TensorFlow
Scikit-Learn
Hyperparameter Tuning
MLOps
Programming Languages
Java
JavaScript
Spring
Python
Go
C#
C++
C
Swift
Rust
Functional Programming
Software Architecture
Object-Oriented
Distributed Systems
Domain-Driven Design
Architectural Patterns
IT/Ops
Kubernetes
Docker
GitHub
Terraform
Continuous Delivery
Continuous Integration
Database Administration
Computer Networking
Operating Systems
IT Certifications
Security
Network Security
Application Security
Incident Response
Zero Trust Model
Disaster Recovery
Penetration Testing / Ethical Hacking
Governance
Malware
Security Architecture
Security Engineering
Security Certifications
Design
Web Design
Graphic Design
Interaction Design
Film & Video
User Experience (UX)
Design Process
Design Tools
Business
Agile
Project Management
Product Management
Marketing
Human Resources
Finance
Team Management
Business Strategy
Digital Transformation
Organizational Leadership
Soft Skills
Professional Communication
Emotional Intelligence
Presentation Skills
Innovation
Critical Thinking
Public Speaking
Collaboration
Personal Productivity
Confidence / Motivation
Features
All features
Verifiable skills
AI Academy
Courses
Certifications
Interactive learning
Live events
Superstreams
Answers
Insights reporting
Radar Blog
Buy Courses
Plans
Sign In
Try Now
O'Reilly Platform
book
밑바닥부터 시작하는 딥러닝 5
by
사이토 고키
,
개앞맵시(이복연)
October 2024
Beginner to intermediate
340 pages
7h 38m
Korean
Hanbit Media, Inc.
Content preview from
밑바닥부터 시작하는 딥러닝 5
315
부록
C
계층형 VAE의 이론과 구현
이번 부록에서는 계층형
VAE
에 대해 설명합니다. 단, 이해하기 쉽도록 [그림
C
-
1
]과 같은
2
계층 잠재 변수로 한정하여 이야기하겠습니다.
그림
C-1
2계층
VAE
모형도
NOTE_
지금부터 설명하는 내용은 잠재 변수가
T
개인 경우에도 성립합니다. 관심 있는 분은 이후 수식에서
잠재 변수의 수를
T
로 설정하여 전개해보세요.
C
.1
2계층
VAE
의 구성요소
[그림
C
-
1
]의
2
계층
VAE
가 학습하는 방법은 단순
VAE
와 똑같습니다. 두 경우 모두
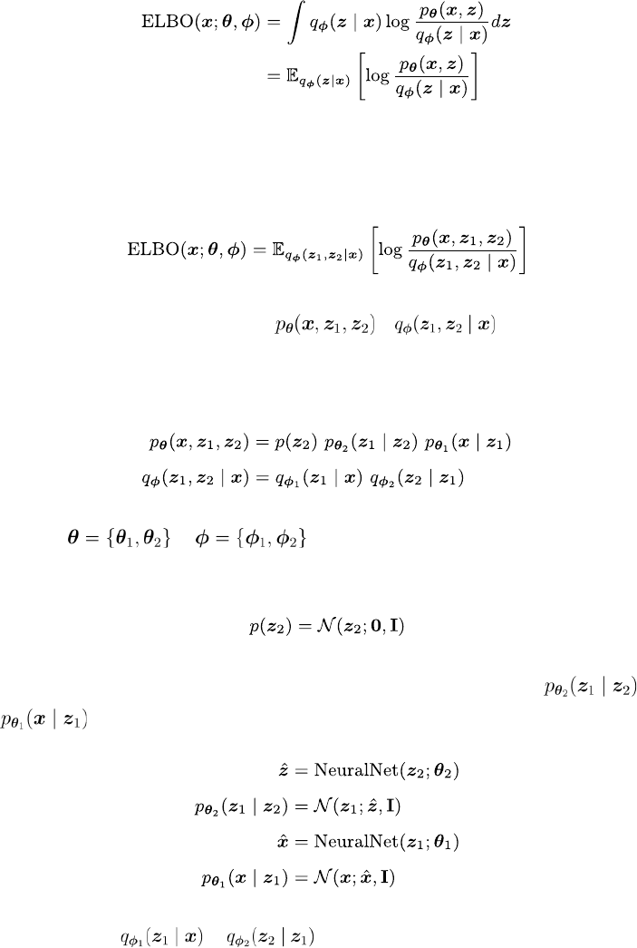
ELBO
를
목적 함수로 사용합니다.
VAE
의
ELBO
는 다음 식으로 표현됩니다.
계층형
VAE
의 이론과 구현
APPENDIX
C
316
밑바닥부터 시작하는 딥러닝 5
2
계층
VAE
의
ELBO
는 이 식의
z
에
z
1
,
z
2
를 대입하여 얻을 수 있습니다. 수식으로는 표현하
면 다음과 같습니다.
이 식의
ELBO
에는 두 가지 확률 분포
와
가 등장합니다. 이들은
계층형
VAE
의 확률 곱셈 정리와 마르코프 성질에 의해 다음과 같이 분해하여 표현할 수 있습
니다.
보다시피
로,
로 분해했습니다. 한편 ...
Become an O’Reilly member and get unlimited access to this title plus top books and audiobooks from O’Reilly and nearly 200 top publishers, thousands of courses curated by job role, 150+ live events each month,
and much more.
Start your free trial
You might also like
밑바닥부터 시작하는 딥러닝 4
사이토 고키
밑바닥부터 시작하는 딥러닝
사이토 고키
밑바닥부터 시작하는 딥러닝 2
사이토 고키
밑바닥부터 시작하는 비트코인
류정필, 송재준
Publisher Resources
ISBN: 9791169212960