Skip to Content
For Enterprise
For Government
For Higher Ed
For Individuals
For Marketing
For Enterprise
For Government
For Higher Ed
For Individuals
For Marketing
Explore Skills
Cloud Computing
Microsoft Azure
Amazon Web Services (AWS)
Google Cloud
Cloud Migration
Cloud Deployment
Cloud Platforms
Data Engineering
Data Warehouse
SQL
Apache Spark
Microsoft SQL Server
MySQL
Kafka
Data Lake
Streaming & Messaging
NoSQL Databases
Relational Databases
Data Science
Pandas
R
MATLAB
SAS
D3
Power BI
Tableau
Statistics
Exploratory Data Analysis
Data Visualization
AI & ML
Generative AI
Machine Learning
Artificial Intelligence (AI)
Deep Learning
Reinforcement Learning
Natural Language Processing
TensorFlow
Scikit-Learn
Hyperparameter Tuning
MLOps
Programming Languages
Java
JavaScript
Spring
Python
Go
C#
C++
C
Swift
Rust
Functional Programming
Software Architecture
Object-Oriented
Distributed Systems
Domain-Driven Design
Architectural Patterns
IT/Ops
Kubernetes
Docker
GitHub
Terraform
Continuous Delivery
Continuous Integration
Database Administration
Computer Networking
Operating Systems
IT Certifications
Security
Network Security
Application Security
Incident Response
Zero Trust Model
Disaster Recovery
Penetration Testing / Ethical Hacking
Governance
Malware
Security Architecture
Security Engineering
Security Certifications
Design
Web Design
Graphic Design
Interaction Design
Film & Video
User Experience (UX)
Design Process
Design Tools
Business
Agile
Project Management
Product Management
Marketing
Human Resources
Finance
Team Management
Business Strategy
Digital Transformation
Organizational Leadership
Soft Skills
Professional Communication
Emotional Intelligence
Presentation Skills
Innovation
Critical Thinking
Public Speaking
Collaboration
Personal Productivity
Confidence / Motivation
Features
All features
Verifiable skills
AI Academy
Courses
Certifications
Interactive learning
Live events
Superstreams
Answers
Insights reporting
Radar Blog
Buy Courses
Plans
Sign In
Try Now
O'Reilly Platform
book
밑바닥부터 시작하는 딥러닝 5
by
사이토 고키
,
개앞맵시(이복연)
October 2024
Beginner to intermediate
340 pages
7h 38m
Korean
Hanbit Media, Inc.
Content preview from
밑바닥부터 시작하는 딥러닝 5
118
밑바닥부터 시작하는 딥러닝 5
깝게도 이 문제는 쉽게 풀리지 않습니다. 이번 절에서는
GMM
의 매개변수를 추정하기가 왜 어
려운지 수식으로 살펴보겠습니다.
4.4.1
GMM
의 매개변수 추정
GMM
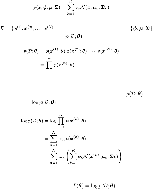
은 수식으로 다음과 같이 표현합니다.
[식 4.3]
샘플로
을 얻었다고 해봅시다. 편의상 매개변수
는
묶어서
i
로 표현하겠습니다. 그러면 가능도
는 다음 식으로 표현할 수 있습니다.
우리는
2
장에서 최대 가능도 추정에 대해 배웠습니다. 최대 가능도 추정의 목표는 가능도를 최
대화하는 매개변수
i
를 찾는 것입니다. 로그를 써서 계산하면 더 편리하므로
를 최대
화하는 대신 로그 가능도
를 최대화해봅시다.
간단한 문제라면 매개변수에 대한 기울기를 구하고 그 값을
0
으로 설정한 방정식으로 풀 수 있
습니다. 이번 문제에서는 다음 방정식이 됩니다
(
로 정의
).
[식 4.4]
119
4
장
가우스 혼합 모델
이상의 세 방정식을 풀면 좋겠지만 안타깝게도 해석적으로는 풀 수 없습니다. 이유는 [식
4
.
4
]
가
형태이기 때문입니다. 이 형태를
로그-합
log
-
sum
이라고도 합니다. 로그-합은 ...
Become an O’Reilly member and get unlimited access to this title plus top books and audiobooks from O’Reilly and nearly 200 top publishers, thousands of courses curated by job role, 150+ live events each month,
and much more.
Start your free trial
You might also like
밑바닥부터 시작하는 딥러닝 4
사이토 고키
밑바닥부터 시작하는 딥러닝
사이토 고키
밑바닥부터 시작하는 딥러닝 2
사이토 고키
밑바닥부터 시작하는 비트코인
류정필, 송재준
Publisher Resources
ISBN: 9791169212960