December 2020
Intermediate to advanced
1064 pages
49h 13m
English
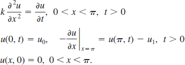
13 Chapter in Review Answers to selected odd-numbered problems begin on page ANS-36.
In Problems 1 and 2, use separation of variables to find product solutions u = X(x)Y(y) of the given partial differential equation.



Read now
Unlock full access