Skip to Content
For Enterprise
For Government
For Higher Ed
For Individuals
For Marketing
For Enterprise
For Government
For Higher Ed
For Individuals
For Marketing
Explore Skills
Cloud Computing
Microsoft Azure
Amazon Web Services (AWS)
Google Cloud
Cloud Migration
Cloud Deployment
Cloud Platforms
Data Engineering
Data Warehouse
SQL
Apache Spark
Microsoft SQL Server
MySQL
Kafka
Data Lake
Streaming & Messaging
NoSQL Databases
Relational Databases
Data Science
Pandas
R
MATLAB
SAS
D3
Power BI
Tableau
Statistics
Exploratory Data Analysis
Data Visualization
AI & ML
Generative AI
Machine Learning
Artificial Intelligence (AI)
Deep Learning
Reinforcement Learning
Natural Language Processing
TensorFlow
Scikit-Learn
Hyperparameter Tuning
MLOps
Programming Languages
Java
JavaScript
Spring
Python
Go
C#
C++
C
Swift
Rust
Functional Programming
Software Architecture
Object-Oriented
Distributed Systems
Domain-Driven Design
Architectural Patterns
IT/Ops
Kubernetes
Docker
GitHub
Terraform
Continuous Delivery
Continuous Integration
Database Administration
Computer Networking
Operating Systems
IT Certifications
Security
Network Security
Application Security
Incident Response
Zero Trust Model
Disaster Recovery
Penetration Testing / Ethical Hacking
Governance
Malware
Security Architecture
Security Engineering
Security Certifications
Design
Web Design
Graphic Design
Interaction Design
Film & Video
User Experience (UX)
Design Process
Design Tools
Business
Agile
Project Management
Product Management
Marketing
Human Resources
Finance
Team Management
Business Strategy
Digital Transformation
Organizational Leadership
Soft Skills
Professional Communication
Emotional Intelligence
Presentation Skills
Innovation
Critical Thinking
Public Speaking
Collaboration
Personal Productivity
Confidence / Motivation
Features
All features
Verifiable skills
AI Academy
Courses
Certifications
Interactive learning
Live events
Superstreams
Answers
Insights reporting
Radar Blog
Buy Courses
Plans
Sign In
Try Now
O'Reilly Platform
book
数据分析之图算法: 基于Spark和Neo4j
by
Mark Needham
,
Amy E. Hodler
September 2020
Intermediate to advanced
213 pages
5h 25m
Chinese
Posts & Telecom Press
Content preview from
数据分析之图算法: 基于Spark和Neo4j
68
|
第
5
章
LOAD CSV
WITH
HEADERS FROM uri
AS
row
MATCH
(source:User {id: row.src})
MATCH
(destination:User {id: row.dst})
MERGE (source)-[:FOLLOWS]->(destination)
图已经加载完毕,接下来介绍算法。
5.2
度中心性算法
度中心性算法是本书中最简单的算法。它计算节点的输入关系数和输出关系数,用于在图
中查找受欢迎的节点。该算法是
1979
年由
Linton C. Freeman
在其论文“
Centrality in Social
Networks: Conceptual Clarification
”中提出的。
5.2.1
可达性
了解节点的可达性是一种相当重要的度量方法。节点的
度
是其拥有的直接关系数,可按入
度和出度两种指标计算。可以将其视为节点的直接可达度,例如在一个活跃的社交网络
中,度较高的人会有很多直接联系人,更有可能在该网络中传播流感病毒。
网络的
平均度
就是关系总数除以节点总数得到的值,这个值可能会被度较高的节点严重扭
曲。
度分布
是指随机选择的节点拥有特定关系数的概率。
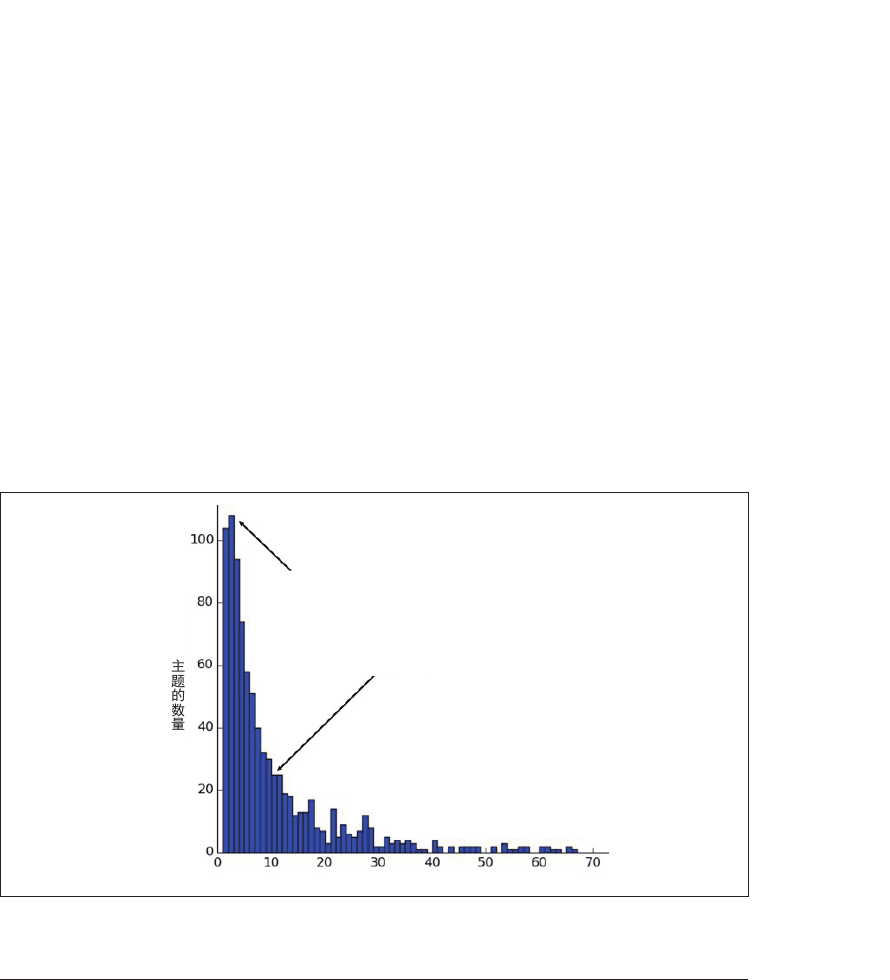
图
5-3
展示了某在线论坛各主题之间实际连接分布的差异。如果简单地取平均值,就会以
为大多数主题有
10
个连接,而实际上大多数主题只有两个连接。
连接数量(度)
大多数主题有两个连接
但是平均度为
10
图
5-3
:
Jacob Silterrapa
绘制的度分布图给出了一个示例,说明平均值往往不能反映网络的实际分 ...
Become an O’Reilly member and get unlimited access to this title plus top books and audiobooks from O’Reilly and nearly 200 top publishers, thousands of courses curated by job role, 150+ live events each month,
and much more.
Start your free trial
You might also like
大数据项目管理:从规划到实现
Ted Malaska, Jonathan Seidman
Presto实战
Matt Fuller, Manfred Moser, Martin Traverso
数据库系统内幕
Alex Petrov
精實企業|高績效組織如何達成創新規模化
Jez Humble, Joanne Molesky, Barry O'Reilly
Publisher Resources
ISBN: 9787115546678