July 2016
Beginner to intermediate
462 pages
9h 14m
English
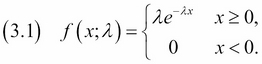
The exponential distribution is a special case of the gamma distribution, which we will also encounter in this chapter. The exponential distribution can be used to analyze extreme values for rainfall. It can also be used to model the time it takes to serve a customer in a queue. For zero and negative values, the probability distribution function (PDF) of the exponential distribution is zero. For positive values, the PDF decays exponentially:

We will use rain data as an example, which is a good candidate for an exponential distribution fit. Obviously, the amount of rain cannot be negative and we know that ...