February 2008
Intermediate to advanced
400 pages
10h
German
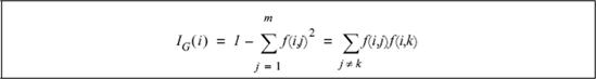
Der Gini-Index (Gini Impurity) ist ein Wert, der angibt, wie »verschmutzt« ein Set ist. Wenn Sie eine Reihe von Elementen haben, wie zum Beispiel [A, A, B, B, B, C], dann beschreibt der Gini-Index, wie wahrscheinlich es ist, dass Sie einen Fehlgriff tätigen, wenn Sie ein Element nehmen und zufällig seine »Beschreibung« erraten wollen. Besteht das Set nur aus As, würden Sie immer A raten und nie falsch liegen – das Set wäre also komplett »sauber«.
Abbildung B-6 zeigt die Formel für den Gini-Index.

Abbildung B-6. Gini-Index
Diese Funktion erwartet eine Liste mit Elementen und berechnet den Gini-Index:
def giniimpurity(l): total=len(l) counts={} ...