
484 VI Compute
Megapixels/Second
0
2000
4000
6000
8000
10000
12000
24681012141618
Filter Size
Texture
Shared
Shared unrolled
FFT
Texture unrolled
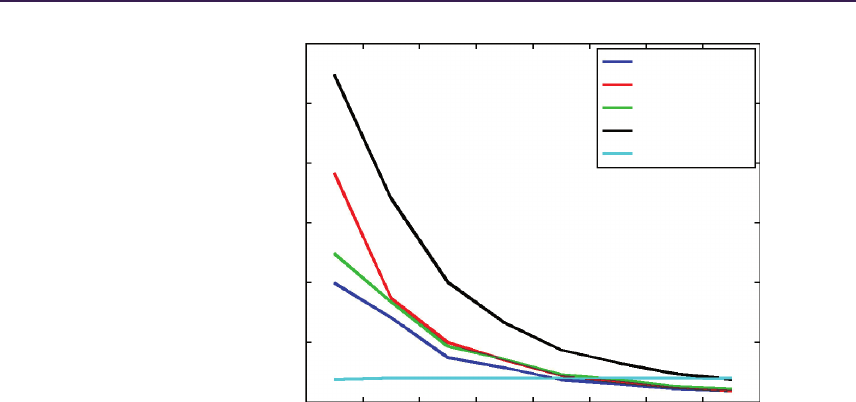
Figure 5.6. Performance, measured in megapixels per second, for the different imple-
mentations of 2D filtering, for an image of size 2048 × 2048 and filter sizes ranging from
3 × 3to17× 17. The processing time for FFT-based filtering is independent of the filter
size and is the fastest approach for non-separable filters larger than 17 × 17.
5.9.2 Performance, 3D Filtering
Performance estimates for non-separable 3D filtering are given in Figures 5.8–
5.9. Again, time for transferring the data to and from the GPU is not included. ...