
数据驱动意味着什么
|
3
说,如果缺乏病人全面准确的流动情况、诊断过程和跟踪数据,分析师很难或不可能分
析和改善治疗过程与效果。因此,封闭的数据总是会阻碍期望结果的获取。当系统的数
据对更多相关方可用时,整体效果会优于局部效果的总和。
可查询
必须使用合适的工具对数据进行查询、切片和分块。所有的报表和分析都需要过滤、分
组和聚合数据,以将大量原始数据简化成更高级的小数据集,进而帮助企业理解当前的
业务状况,了解趋势或弄清楚客户群之间的差异。分析师必须具备能轻松计算数据指标
的工具。
(后续章节会深度解析这些问题。)
现在我们有了数据且它是可访问的,这就足够了吗?当然不是。我们还需要能正确使用这
些数据的人。这意味着需要过滤和聚合数据的机制,比如查询语言或者
Excel
宏语句
;同
时,也需要有人能够设计和选择合适的数据指标,并不断抽取和跟踪数据(第
6
章将
讨论
该话题)。这些指标可能是重复订阅率(比如
Netflix
和
《华尔街日报》的订阅服务)、生命
周期价值或经济增长指标,但这需要分工合作,由一个人决定这些数值,另一个人建立提
供指标值的流程。
因此,对想成为数据驱动型的组织而言,必须要有人参与其中。这些人应能提出与数据相
关的正确问题,拥有抽取正确数据和指标的技能,并能利用数据启发下一步行动。简而言
之,仅凭数据不能解救组织于水火。
1.3
报表
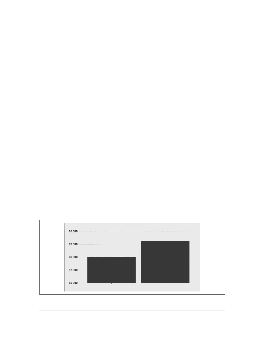
假设你有一个可以访问精确数据的分析团队。他们通过抽取销售数据做了一份报表,并自
豪地声称公司
4~5
月的订单量增长了
5.2%
,如图
1-1
所示。
订单量月增5.2%
4月 5月
图 1-1 ...