
12
|
第
1
章
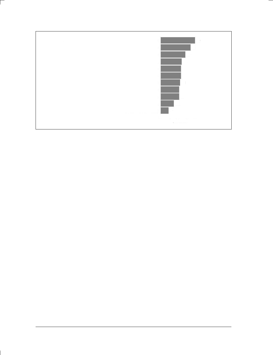
对如何使用分析改善业务缺乏了解
因竞争优先级导致的管理资源缺乏
缺乏业务相关的技能
现有文化不鼓励分享
数据所有权不明,或组织管理低效
缺乏领导层的支持
获取数据的能力
感知成本高于预期收益
关于数据的问题
无改变的先例,或无所作为没有带来后果
不知从何开始
百分比
39
34
28
24
23
23
22
21
21
15
9
0 10 20 30 40
图 1-5:针对以下问题的反馈:“在你的组织中,广泛采用信息和数据分析的主要障碍是什么?”
这些是每个人,包括每个数据分析师,都可以帮助驱动的。比如,分析师可以帮助提升他
们的数据分析技能,更加积极主动地完成工作,并将其价值告知管理者和企业。他们可以
做更多的研究,以搜集其他组织利用分析解决类似商业问题的案例。数据工程经理可以为
数据集成和数据质量分配资源,以便提高数据的可信度。高层管理者可以推动或者要求更
大程度的数据共享,以及明确数据责任人和数据管理职责,例如,任命首席分析官或首席
数据官(第
11
章将介绍)
。每个人都有自己的角色。
1.8
小结
接下来的章节会深入分析相关的问题。具体来说,本书先从基础层面分析需求:原始数
据和聚合数据及其质量(第
2
章和第
3
章)
。接着介绍数据分析组织本身:分析师的类
型,以及他们应具备的技能及其组织结构(第
4
章)
。然后描述数据分析的各个方面(第
5
章)
、指标设计(第
6
章)以及用数据讲故事(第
7
章)。第
8
章探讨
A/B
测试。最重要
的是,第
9
章和第
10
章探讨文化和决策过程
,这两者也是优秀的数据驱动型组织的特征。
第
11
章探
讨在管理文化和变更管理方面 ...