Skip to Content
データサイエンス設計マニュアル
book

データサイエンス設計マニュアル

by Steven S. Skiena, 小野 陽子, 長尾 高弘
January 2020
Beginner to intermediate
728 pages
10h 26m
Japanese
O'Reilly Japan, Inc.
Content preview from データサイエンス設計マニュアル
2.4 対数 43
2 -11
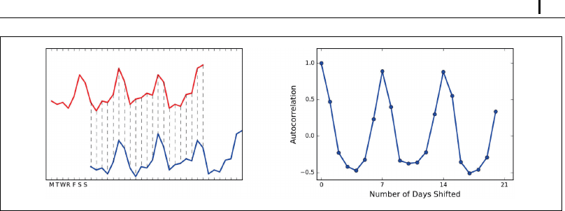
系列データの周期的なトレンド(左)は、元データと時間軸を少しずらしたものとの相関を調
べると(右)明らかになる
る。経験に基づき、明日の天気も今日の天気と同じようなものだろうと考えるのは、p = 1 日を周期とする
自己相関によるものである。6 か月前の天気データ(p = 180 の周期)に基づく予測よりも、このモデルの
方が正確なのは間違いない。
一般に、多くのものの自己相関関数は、非常に短い周期で最高になる。長期予測が短期予測よりも不正確
になるのはそのためで、一般に、長期間になると自己相関が大幅に弱くなるからである。しかし、ときどき
非常に長い周期性が見られることがある。天気の場合、季節による影響があるため、周期を p = 180 日とす
るよりも、p = 365 日とした方がずっと正確になる。
自己相関関数を完全に計算するためには、n 1 種類の周期で相関を計算しなければならないため、n
大きくなるとコストがかかる。幸い、高速フーリエ変換Fast Fourier TransformFFT)を使った効率のよ
いアルゴリズムがあり、それを使えば非常に長い期間を対象として自己相関関数を作ることができる。
2.4 対数
対数は指数関数 y = b
x
の逆関数で、この式は x = log
b
y と書き直すことができる。この定義は、次の式
と同じ意味である。
b
log
b
y
= y
指数関数は非常に速いペースで大きくなる。それは、b = {2
1
, 2
2
, 2
3
, 2
4
,
Become an O’Reilly member and get unlimited access to this title plus top books and audiobooks from O’Reilly and nearly 200 top publishers, thousands of courses curated by job role, 150+ live events each month,
and much more.

Read now

Unlock full access

More than 5,000 organizations count on O’Reilly

AirBnbBlueOriginElectronic ArtsHomeDepotNasdaqRakutenTata Consultancy Services

QuotationMarkO’Reilly covers everything we've got, with content to help us build a world-class technology community, upgrade the capabilities and competencies of our teams, and improve overall team performance as well as their engagement.
Julian F.
Head of Cybersecurity
QuotationMarkI wanted to learn C and C++, but it didn't click for me until I picked up an O'Reilly book. When I went on the O’Reilly platform, I was astonished to find all the books there, plus live events and sandboxes so you could play around with the technology.
Addison B.
Field Engineer
QuotationMarkI’ve been on the O’Reilly platform for more than eight years. I use a couple of learning platforms, but I'm on O'Reilly more than anybody else. When you're there, you start learning. I'm never disappointed.
Amir M.
Data Platform Tech Lead
QuotationMarkI'm always learning. So when I got on to O'Reilly, I was like a kid in a candy store. There are playlists. There are answers. There's on-demand training. It's worth its weight in gold, in terms of what it allows me to do.
Mark W.
Embedded Software Engineer

You might also like

Python機械学習クックブック

Python機械学習クックブック

Chris Albon, 中田 秀基
Rではじめるデータサイエンス

Rではじめるデータサイエンス

Hadley Wickham, Garrett Grolemund, 黒川 利明, 大橋 真也
プログラミングC# 第8版

プログラミングC# 第8版

Ian Griffiths, 木下 哲也, 鈴木 幸敏

Publisher Resources

ISBN: 9784873118918Other