
5.4
特徴量エンジニアリング
381
データに使用した、単純にピクセル値を使うだけのものです。しかし、そのようなアプローチが最
適ではない場合もあります。
画像の特徴抽出技術を包括的に説明することは、この節の範囲をはるかに超えています。
scikit-
image
プロジェクト(
http://scikit-image.org
)では、多くの標準的なアプローチに対する優れた実装
を見つけることができます。
scikit-learn
と
scikit-image
を一緒に使用する例として、「5.14 応用:
顔検出パイプライン」を参照してください。
5.4.4
導出された特徴量
さらに別の有用な特徴量として、いくつかの特徴量から数学的に導出されるものが考えられま
す。この例として、「5.3 ハイパーパラメータとモデルの検証」では入力データから多項式特徴量
を作成しました。その例ではモデルを変更するのではなく、入力を変換することによ
って、線形回
帰を多項式回帰に変換しました。これは、基底関数回帰(
basis function regression
)と呼ばれるこ
ともあります。詳細については、「5.6 詳細:線形回帰」で詳しく説明します。
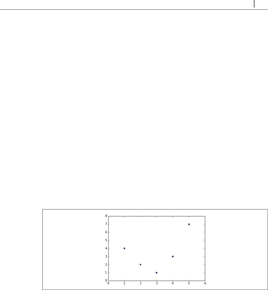
例えば次のデータを、直線で正確に表すことはできません(図 5-35)。
In[10]: %matplotlib inline
import numpy as np
import matplotlib.pyplot as plt
x = np.array([1, 2, 3, 4, 5])
y ...